Vitamina B9 – Acido Fólico

La vitamina B9 fue descubierta por la Dra. Lucy Willys en 1.931 en la India cuando trataba anemias en embarazadas que no respondían al tratamiento clásico de ingesta de hígado, estas mujeres tenían una dieta a base de arroz descascarillado y pan blanco, pero si respondían a un preparación de levadura, y se la denominó factor de Willys o vitamina B11.(5)
En 1.941 unos bioquímicos norteamericanos descubrieron en la espinaca un factor que curaba la anemia que se producía en los pollos con dietas de cereales refinados, más tarde el Dr. Tom Spies demostró que un compuesto llamado ácido fólico de las hojas verdes de verduras curaba este tipo de anemia.(5)

En 1.885 ya se demostró la importancia del ácido fólico por parte del Dr. Gowland Hopkins cuando descubrió que el pigmento que daba color a las mariposas estaba relacionado con el ácido fólico.
En la naturaleza puede ser sintetizado por bacterias y mohos, y puede obtenerse también como un subproducto en la elaboración de antibióticos.(4)
El ácido fólico debe ser sintetizado de los alimentos que deben de ser convertidos a monoglutamatos por una enzima intestinal (folato hidrolasa), mientras que el ácido fólico sintético no requiere esta conversión.(4)
El ácido fólico recibe distintos nombres:
• Factor de fermentación de Lactobacillus Casei
• Vitamina M (necesaria para la hematopoyesis del mono)
• Vitamina Bc
• Vitamina B9
• Vitamina B10
• Vitamina B11
• Factores R, S y U (necesarios para el pollo)
• Factor SLR (necesarios para el Streptococus lactis R.)
El nombre genérico de folatos describe a diferentes formas de vitaminas constituidas de un anillo de pteridina además del ácido p-aminobenzoico y de uno a seis ácidos glutámicos.
Las pteridinas, se remontan a las investigaciones llevadas a cabo, a fines del siglo XIX, por Frederick Gowland Hopkins quien intentó aislar el pigmento amarillo de una mariposa denominada «brimstone» (azufre). (1)
Las pterinas se encuentran ampliamente distribuidas en la naturaleza. Están presentes en prácticamente todos los seres vivos, pero en pequeñas cantidades. Son moléculas que desempeñan funciones muy diversas en los organismos vivos, participando en muchas reacciones bioquímicas de gran importancia. (1)
El tetrahidrofolato, un derivado reducido del ácido fólico, y la tetrahidrobiopterina, los dos integrantes de esta familia de compuestos que más han sido estudiados. (1)
La tetrahidrobiopterina, participa en la transformación de la fenilalanina a tirosina, catalizada por la fenilalanina hidroxilasa. (1)
El óxido nítrico se forma en las células a partir de la L-arginina y esta reacción es catalizada por una compleja enzima denominada óxido nítrico sintasa, que contiene a la tetrahidrobiopterina como uno de sus cofactores. (1)
El organismo humano no puede sintetizar el ácido fólico por lo que depende totalmente de la ingesta en los alimentos.
El ácido fólico se encuentra en forma natural como poliglutamatos los cuales son convertidos a monoglutamatos por medio de un grupo de enzimas denominadas conjugasas (folato hidrolasa) que es dependiente del Zinc presentes en el borde ciliado de las células de la mucosa yeyunal, facilitándose con ello su absorción en la parte alta del intestino delgado;
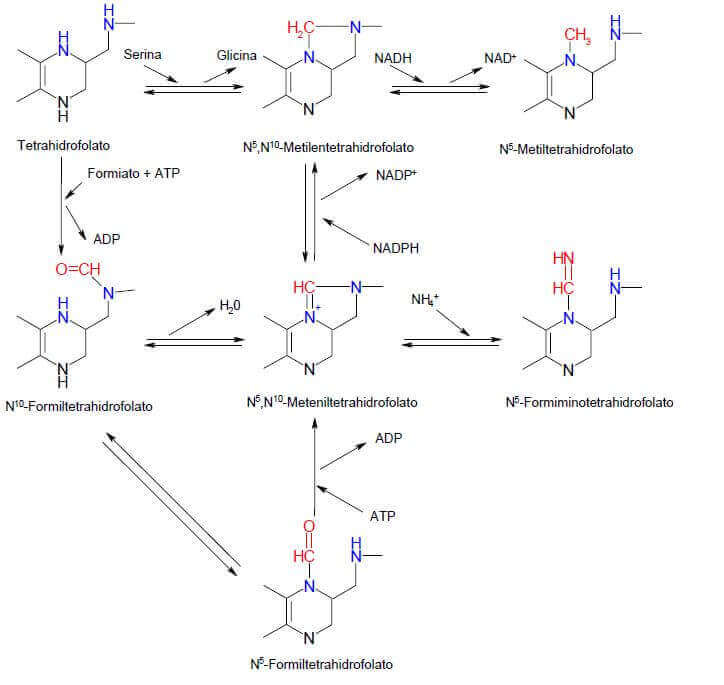
Todos los monoglutamatos por medio de una reductasa son convertidos a tetrahidrofolatos (THF) y dihidrofolatos; los THF son los compuestos biológicamente activos, el monoglutamato 5 metil THF es la forma predominante en el suero.(5,2)

Ha de ser de nuevo convertido en monoglutamato para liberarlo en la circulación portal, donde se metila y se reduce a metiltetrahidrofolato. El Hígado almacena el folato en su forma reducida y conjungada o lo convierte en metiltetrahidrofolato que se secreta en la bilis para su posterior reabsorción en la mucosa intestinal. (2)
El ácido fólico circula en el plasma en forma de N5-metiltetrahidrofolato libre o ligado débilmente a la albúmina hepática donde se almacena y participa en las reacciones metabólicas.
Estos derivados del tetrahidrofolato sirven como dadores de unidades monocarbonadas en una amplia gama de reacciones biosintéticas. La metionina, por ejemplo, se sintetiza a partir de homocisteína por transferencia del grupo metilo del N5-metiltetrahidrofolato.
Algunas legumbres poseen inhibidores de la conjugasa lo que puede afectar la absorción de los folatos, adicionalmente los folatos son inactivados por el calor durante la cocción, por la exposición a la luz ultravioleta durante su almacenamiento y más frecuentemente debido a la ingesta de fármacos que actúan interfiriendo en la síntesis del ADN ya sea en forma directa o indirecta; entre los más conocidos se encuentran el metrotrexato.(5,7)

Funciones de la Vitamina B9 – Acido Fólico
El ácido fólico resulta esencial en el metabolismo de los ácidos nucleicos (ADN y ARN), estos son básicos para la transmisión de las características genéticas, pero a su vez son importantes en la síntesis proteica primordial en todos los tejidos del cuerpo.(7)
Su función más importante es la de catalizador de compuestos claves para el organismo, como la división celular, la transmisión de los rasgos hereditarios.
Su función más importante es la de catalizador de compuestos claves para el organismo, como la división celular, la transmisión de los rasgos hereditarios, la síntesis de tiamina, formación de la nucleoproteína del ADN. El ácido fólico desempeña el papel de transporte básico del grupo C, para la formación del grupo hemo, proteína de la hemoglobina.(4,7)
Como coenzima interviene en:
1. La conversión de serina a glicina y viceversa.
2. La oxidación de la fenilalanina a tirosina.
3. En el metabolismo de la vitamina B3.
Interviene en el metabolismo de la homocisteína. La homocisteína es un aminoácido sulfurado, proveniente de la degradación de un aminoácido esencial la metionina, para que la metionina se transforme en homocisteína es necesario la presencia de B12, y para transformarla nuevamente en metionina requiere de B9 (ácido fólico), a su vez la conversión de homocisteína a nistatina y posteriormente a cisteína, depende de la vitamina B6, por lo que el déficit de cualquiera de ellas influirá negativamente en su metabolismo.(5,7)
En el sistema inmunitarios, interviene en la formación de anticuerpos a nivel del Timo, junto con el Zinc, un déficit de esta vitamina puede afectar al sistema inmunitario del recién nacido.(7)

DEFICITS DE FOLATOS o VITAMINA B9
El más frecuente, es una mala alimentación. Los síndromes de malabsorción intestinal bloqueo metabólico por el alcohol o por el uso de antagonistas del ácido fólico, como el metotrexato, fármaco para el tratamiento de neoplasias.(1)
Los tejidos y órganos más afectados son los relacionados con las células sanguíneas y la mucosa intestinal. Los ácidos nucleicos no pueden sintetizarse y, como consecuencia de esto, las células no pueden replicarse.(1)
La alteración en la síntesis de DNA que existe en el déficit de ácido fólico conduce a una patología con un cuadro morfológico característico en la sangre periférica y en la médula ósea, que se conoce con el nombre de anemia megaloblástica.
El déficit de vitamina B9 puede producir leucopenia, anemia megaloblástica y trastornos neurológicos.

Por otra parte, se produce una atrofia de la mucosa del tubo digestivo que puede provocar un estado de malabsorción que puede, a su vez, intensificar el déficit primario(5)
Muchas de las funciones del ácido fólico van ligadas a la de otra vitamina del grupo B la vitamina B12 (cobalamina), el déficit de ambas produce la anemia megaloblástica.
Una anemia es un descenso del nivel de hemoglobina, eritrocitos (glóbulos rojos) o del hematocrito teniendo en cuenta la edad, sexo y estado de la persona. También suele presentarse leucopenia con neutropenia.
Los síntomas clásicos son palidez, cansancio, disnea al esfuerzo, vértigos, mareos, pérdida de memoria y/o de concentración, alteraciones en el sueño, acúfenos, taquicardia entre otros.(5)
Se clasificarán según 2 parámetros:
1. Volumen corpuscular medio (VCM) teniendo en cuenta el tamaño de los eritrocitos
2. Microcíticas (VCM <80). De tamaño inferior al normal
3. Normocítica (VCM 80-100). De tamaño normal
4. Macrocítica (VCM >100). De tamaño superior al normal(6)
El ácido fólico es esencial para las embarazadas o para las mujeres que desean quedarse embarazadas ya que previene la espina bífida que conlleva parálisis, esto ocurre cuando la columna y los huesos de la espalda no se cierran correctamente, también previene la anencefalia un subdesarrollo del cráneo con ausencia parcial o total del cerebro del recién nacido.(5,1)
Mencionar las alteraciones displásicas de la mucosa del cuello uterino («displasia cervical»). Debido a que los estrógenos inhiben al ácido fólico, pueden producirse modificaciones anormales de la mucosa del cuello uterino de mujeres embarazas, es importante porque la displasia cervical es una fase previa del cáncer de cuello uterino.(5)
Fuentes alimentarias de Vitamina B9 – Acido Fólico
Hígado de cerdo, salvado de trigo, germen de trigo, harina de soja, nueces frescas, levadura, pan integral, sésamo, cacahuetes, avellanas, pistachos, plátanos, aguacates, cítricos, legumbres como las judías y los guisantes, verduras como el brócoli, la lechuga romana, el espárrago, endibias, remolacha, col, puerros, alfalfa germinada.

Los alimentos pierden gran cantidad de la vitamina en cuestión por la lixiviación que se produce, por lo que es recomendable cocinarlas a bajo fuego y con poca cantidad de agua. El oxígeno acelera la descomposición pero la presencia de vitamina C actúa como agente protector, hemos de tener en cuenta que la vitamina B9 es sensible a la luz, algunos metales la destruyen como el cobre, hierro, manganeso.
Propiedades de la vitamina B9- Acido fólico:
- Como preventivo cardiovascular por sus efectos de regulación de la homocisteína con otras vitaminas del grupo B.
- Para mejorar la anemia megaloblástica
- Como prevención de la espina bífida y de la anencefalia.
- Para mejorar la salud mental, en algunos ancianos debido a déficits nutricionales se ha observado mejorías en trastornos depresivos, también existen algunos estudios que resaltan su papel beneficioso en personas con enfermedad de Alzheimer.
- Diversos estudios relacionan el déficit de ácido fólico con el incremento de distintos tipos de cáncer como el de mama, páncreas y colon.
- Como suplemento en la enfermedad celíaca.
- Para paliar los efectos de la Radio y Quimioterapia.
Interacciones con fármacos:
Determinados fármacos producen una depleción o un aumento de las necesidades diarias como el metotrexato (fármaco anticancerígeno), algunos tipos de estrógenos sintéticos (anticonceptivos orales).
Aumentan su excreción renal, la colestiramina usada para reducir los niveles de colesterol. El fenobarbital, la fenilbutazona y la isoniacida usada en la tuberculosis.
Medicamentos que afectan a la forma en que su cuerpo utiliza el folato.(3)
• Epilepsia
• Diabetes tipo 2
• Artritis reumatoide
• Psoriasis
• Enfermedad intestinal inflamatoria
• Diálisis.
• Enfermedad hepática.
• Enfermedad celíaca.
• Consumo excesivo de alcohol.
Descargo de responsabilidad
Hemos realizado todos los esfuerzos posibles para garantizar que la información proporcionada sea precisa, actualizada y completa, pero no se ofrece ninguna garantía al respecto.
Esta información es un recurso de referencia diseñado como un complemento y no un sustituto de la experiencia, habilidad, conocimiento de los profesionales de la salud, ni pretende ser un diagnóstico ni una terapia referenciada.
La ausencia de una advertencia para un determinado suplemento/alimento o la combinación de los mismos no debe interpretarse de ninguna manera como una indicación de seguridad, eficacia o idoneidad para un paciente determinado.
Ultimos artículos publicados
FOTOS:
1. Cecil, Russell L. «170: Anemias Megaloblásticas.» Cecil Tratado De Medicina Interna. 23a ed. Barcelona: Elsevier, 2009
2. Adams
3. www.scielo.cl
BIBLIOGRAFIA:
1. Capítulo 3. Bioquímica del ácido fólico y las pterinas.
2. Revista cubana de Aliment Nutr 1998;12(2):107-19, ácido fólico y vitamina B12 en la nutrición humana, Gisela Pita Rodríguez.
3. http://www.womenshealth.gov 1-800-994-9662 TDD: 1-888-220-5446
4. El ácido fólico en la prevención de los defectos del tubo neural Mouricio Fidel Mendoza González.
5. El Ácido Fólico y la prevención de defectos al nacimiento Secretaría de Salud, Dirección Adjunta de Salud Materna y Perinatal. Homero No. 213, 1°piso, Col. Chapultepec Morales, Delegación Miguel Hidalgo ,C.P. 11750 México, D.F.
6. CAPITULO 42 HEMATOLOGIA Dr. Agustín Julián Jiménez.
7. La vitamina B (Leonard Mervyn) ed. Edaf.
8. Nutrición y alimentación Humana, José Mataix Verdú, Editorial Oceano/ergon.
www.comme3pommes.com/acide-folique-tout-savoir-vitamine-b9/